

工作时间 :
周一~~周五
9:00 -18:00
在非工作时间,您可以通过邮件订购产品,订购时请写明详细联系方式,谢谢支持!
销售:18321282235
技术:021-60514606
传真:021-37680378
顾经理微信 扫一扫,关注我们

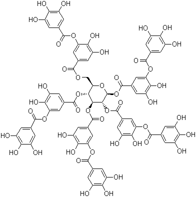
丹宁酸,分析标准品,Purity≥98%
英文名: Tannic acid
别名: 单宁酸
CAS号: 1401-55-4
分子式: C76H52O46
分子量: 1701.2
MDL: MFCD00066397
|
规格 |
价格 |
|
20mg |
¥120元 |
|
|
|
|
大包装询价 |
|
熔点: 218 ℃ (分解)
储存条件: 2-8℃
来源: 五倍子
闪点: 198℃
外观: 黄色粉末
溶解性: 易溶乙醇、丙酮
用途: 铍、铝、镓、铟、铌、钽和锆的沉淀和重量测定。铜、铁、钒、铈和钴的比定测定。蛋白质及生物碱的沉淀剂。钼酸铵滴定铅时的外指示剂。用于鉴别。
敏感性: 对光敏感
部门 |
姓名 | 手机 | |||
| 销售部 | 顾先生 | 1916510334@qq.com | 18321282235 | 1916510334 | |
| 技术部 | 技术支持 | 1781364813@qq.com | 13816899465 | 1781364813 |
全国免费电话:18321282235
销售: 18321282235
86-21-60514606
技术: 13816899465
传真: 021-37680378
- 青霉素V钾,分析标准品,HPLC≥97%...
- Stigmast-4-ene-3β,6β-diol,分析标准品,HPLC≥98%...
- Sorghumol acetate,分析标准品,HPLC≥98%...
- Sinensin,分析标准品,HPLC≥98%...
- Simiarenol acetate,分析标准品,HPLC≥98%...
- Sendanolactone,分析标准品,HPLC≥98%...
- Schleicheol 2,分析标准品,HPLC≥98%...
- Rutaretin,分析标准品,HPLC≥98%...
- Quercetin 3,4'-dimethyl ether,分析标准品,HPLC≥98%...
- Ptelatoside B,分析标准品,HPLC≥98%...




